30ã ¯^ « O¯ 145059-30 ao
Verses 10, 11 Therefore fear thou not, O my servant Jacob, etc These two verses, omitted in the Septuagint, are among the passages which Hitzig (carrying out an idea of Movers) attributes to the editorial hand of the author (a pious Jew of the Captivity, according to him) of Isaiah 4066, and it cannot be denied that the tone and phraseolegy of ver 10 is more akin to that of Isaiah 4066S_h_a_w_o_n_30 (@s_h_a_w_o_n_30) has created a short video on TikTok with music original sound Vai toi aktha Jenis oi🤣#foryou #fypシ #popularvideo #s_h_a_w_o_n_30By now, you may have heard about our acclaimed documentary IOUSA, a film that boldly examines the rapidly growing national debt and its consequences for
Xt 2j Zf M 30 31 3x Jf 33 Ltf Na Gt J Lat Nay Mi Am Tiu Jl Gt Ij E Gt Iazu Iy Jj Aia 6t X O Rzt Oa Xz 6 Ra H Z3 25vz Zi A Ia K Na X9 S U Ra 7a Aza M 30 Ja Gt Vmzl Na Jcu 4 A Stock Photo Alamy
30 ao
30 ao-A O Smith Water Heaters Innovation has a name When it comes to high efficiency water heaters, no one comes close to matching the expertise and innovation of A O SmithWhether you need a gas, an electric, or a tankless water heater, the inventive minds at A O Smith have one waiting for you View all water heatersPenalties (a) Except as authorized by this article, it is unlawful for any person to purchase, possess, or have under his control any controlled substance (b) Except as authorized by this article, it is unlawful



Trixie Rabbits Jesper Corner House 42 A 15 A 30 Cm
We're exploring all of the paid and free web design software and resources available in the market today — with a list of 30 tools for your website inGet it as soon as Thu, May 27 FREE Shipping on orders over $25 shipped by Amazon KOOTANS 32Size 1225Pcs Metric Nitrile Rubber O Rings Assortment Kit 4pcs ORing Remover, Oil Resistant NBR ORing Sealing Assortment Kit Set for Air Plumbing, Fuel Injector and Faucet Seal O Rings 44 out of 5 stars 29Psalm 308 To You, O LORD, I called, and I begged my Lord for mercy Psalm When You hide Your face, they are terrified;
Scratch is a free programming language and online community where you can create your own interactive stories, games, and animationsShop AO Smith Signature 30Gallon Tall 6Year Limited BTU Natural Gas/Liquid Propane Water Heater in the Gas Water Heaters department at Lowe'scom A O Smith's Signature 100 Series Manufactured Housing 30Gallon Tall Low NOx Direct Vent Natural Gas Water Heater is designed to provide efficient andDEL 30/40/50 3 3/4" (9525 mm) FRONT VIEW DEL 30/40/50 3/4" NPT RELIEF VALVE OPENING BRASS DRAIN VALVE "B " "C" "A " FRONT VIEW DEN 301 DRAIN VALVE "B "A 2 1/2" (635 mm) INLET 3/4" (FEMALE) NPT 3/4" NPT RELIEF VALVE OPENING OUTLET T JUNCTION BOX "D" TOP VIEW DEN 30 1 Model Number No of Elements Tank
A O Smith to Hold Third Quarter Conference Call on A O Smith Corporation (NYSE AOS) will release its third quarter 21 financial resultsThe hour and minute hands of a standard clock at 3h30 (or 15h30)?When You take away their breath, they die and return to dust Psalm 1437 Answer me quickly, O LORD;



Portugal Padraƒae A A Aƒa Sa A O Dos Descobrimentos Lisbon Inch By 30 Inch Laminated Poster With Bright Colors And Vivid Imagery Fits Perfectly In Many Attractive Frames Walmart Com Walmart Com



Die Gefiederte Welt Birds 440 Sdie Gefieberte Sbett 3 Quot Tf A 9 2 1 A Ajioia Roeia Er 3fetbea A N Gcriffener Sonnenblumen A C Ommerra Bfen Rbia Ferne A Afer Gefd A Lt Akoba Blau Too Nme L Fe R Beliebt Fa R 3nfeftenfreffer
1237 PM, National/World News Denver mural goes 3D to push for prison reform KMGH Staff 1125 AM, National/World News Watch 'OJ Made in America', a five part 30 for 30 documentary series about OJ Simpson directed by Ezra Edelman, on ESPNCheckout my Merch https//wwwbunkerbrandingcom/pages/operatordrewski Follow my Twitch!



The Good The Bad And The Ugly Of Big Data



Whirlpool Suomi Tervetuloa Kodinkonemyyjasi Sivustolle Vapaasti Sijoitettava Edesta Taytettava Whirlpool Pyykinpesukone 9 0 Kg Ffd 9638 Sv Eu
You made my mountain stand strong When You hid Your face, I was dismayed Psalm 309 "What gain is there in my bloodshed, in my descent to the Pit?About Your Store Your Irwin, Pennsylvania O'Reilly Auto Parts store #5371 is located at 9595 Route 30, at the corner of Lincoln Highway and Lombard Street, across from Conley Self StorageA O Smith's Signature 100 Series 30Gallon Tall Low NOx Atmospheric Vent Natural Gas Water Heater is designed to provide efficient and reliable hot water for households with 1 to 2 people when sized appropriately With an environmentally friendly 32,000 BTU Low NOx gas burner, this model delivers 62 gallons of hot water in the first hour



Vendita Albero Per Seghe Gambo Per Seghe A 14a 30



Nativa Spa Dragon Fruit Body Lotion By O Boticario 30 Hours Of Hydra Ninthavenue Australia
AOSTT HeavyDuty Large Volume Storage Tanks HD 80 through HD AOSTT Submittal Sheet Custom HD Tank Submittal Sheet Factory Jacketed and Insulated Storage Tanks TJ80S17 Jan;66(1)630 doi /gutjnl Epub 16 Oct 5 Authors P Malfertheiner 1 , F Megraud 2 , C A OShop AO Smith Siganture 100 30Gallon Tall 4500Watt 1 Element Electric Water Heater in the Electric Water Heaters department at Lowe'scom A O Smith's Signature 100 Series Manufactured Housing 30Gallon tall 6year limited warranty electric water heater is



45 Ans De La Ma C Hari Citroa N Poursuit Les Festivita C S A



Nativa Spa Dragon Fruit Body Lotion By O Boticario 30 Hours Of Hydra Ninthavenue Australia
My spirit fails Do not hide Your face from me, or I will be like those who descend to the PitIn static seals, where the ORing is not in axial motion in the bore, the recommended maximum compression is approximately 40% In dynamic seals, such as a piston moving inside a cylinder, the recommended maximum compression is somewhat less at 30% Typically, compression is a design input assigned by the design engineerOJ Made In America It is the defining cultural tale of modern America a saga of race, celebrity, media, violence, and the criminal justice system And two decades after its unforgettable



A A Aœ D E G H I A K L M N O R S T U V A 1 9 4 10 4 30 2 2 10



Xt 2j Zf M 30 31 3x Jf 33 Ltf Na Gt J Lat Nay Mi Am Tiu Jl Gt Ij E Gt Iazu Iy Jj Aia 6t X O Rzt Oa Xz 6 Ra H Z3 25vz Zi A Ia K Na X9 S U Ra 7a Aza M 30 Ja Gt Vmzl Na Jcu 4 A Stock Photo Alamy
Answer (1 of 7) The question is incomplete The angle between what?Sign in Google AccountsOperator's Manual Lycoming O3 Series Approved by FAA 3rd Edition Part No 652 Oliver Street Williamsport, PA USA 570/



File Medalhao Prato Decorativo 1 06 02 000 00 00 05 Acervo Do Museu Paulista Da Usp Jpg Wikimedia Commons



Index Of Wp Content Uploads 03
OCGA (10) Purchase, possession, manufacture, distribution, or sale of controlled substances or marijuana;This is not another rehashed version of the Nicole Brown Simpson murder in 1994, where OJ was acquitted of all criminal charges, but held responsible in civIl court in the case brought by Ron Goldman's family, the other victim murdered at the scene with Nicole "OJ Made in America," is the most mesmerizing piece of documentary journalism//wwwtwitchtv/operatordrewskiSubscribe for more videos D



Fan Europe Suspension Monroe 1 Light E27 A 30 Cm Green Www Smart Issima Com



30 Moedas De Reis Antigas Em P R O M O C A O Mercado Livre
1030 o'clock My sisterinlaw will soon graduate from high school, and we recently got her graduation announcement in the mail It was pretty standard stuff—a script font in metallic ink on nice paper—but one small detail caught my eye It says the commencement exercises will take place at "tenthirty o'clock"OCGA (10) Depositions upon oral examination (a) When depositions may be taken After commencement of the action, any party may take the testimony of any person, including a party, by deposition upon oral examination Leave of court, granted with or without notice, must be obtained only if the plaintiff seeks to take aINSPIRED BY FLORIDA'S SCENIC HIGHWAY 30A 30A RADIO BEACH HAPPY MAGAZINE 30A VIDEOS NEWS 30A STORIES 30A BEACH CAMS Shop Now Shop EBikes Previous Next APPAREL DRINKWARE EBIKES CRAFT BEER Available in over 400 stores nationwide, 30A apparel is made from recycled plastic water bottles



Index Of Tbweblog Wp Content Uploads 09 10



Trixie Rabbits Jesper Corner House 42 A 15 A 30 Cm
Psalm 307 O LORD, You favored me; This recall includes A O Smith 30gallon natural gas water heaters with model number G6UT3030NV and serial numbers with the first four digits of 1805 through 1809 A O Smith, the model number and the serial number are printed on the data plate located next to the gas water heater's control valve/thermostat A OInside 30 for 30 Breakaway ESPN • Inside 30 for 30 2624 Inside 30 for 30 Al Davis vs The NFL ESPN • Inside 30 for 30 3317



Cover Page Formatting Guide For Academic Texts



Piston Gol A 57 30 125 For Vespa From 1949 To 1952 V1 V15 V30 V33 T Changing Wand And Wire Roman Holidays Faro Low O 57 30 Mm
If AOC Is So Heavily Favored, Why Has Her Race Drawn $30 Million?O'Day 37 Yacht Owner's Manual Bangor Punta Marine (47 pages) 1980 Download a sample page $25 O'Day 39 Yacht Owner's Manual Bangor Punta Marine (72 pages) 19 Download a sample page $30 O'Day 40 Yacht Owner's Manual Starcraft Sailboat Products (112 pages) 1986 Download a sample pageA O Smith is proud to be known as one of the world's leading providers of water heating and water treatment solutions As a leader, we refuse to sit quietly Each and every day at A O Smith, we are working on developing stateoftheart solutions that are pushing new boundaries and paving the way in our industry Water Heating



Index Of Media Puntos Vista



Index Of Media Puntos Vista
The ninthannual Jack O' Lantern Spectacular will be held from Sept 30 through Halloween The event will once again be held as a walking trail after itThe review of the very cheap Action CamermProf Wolff explains how the US political decision to ratchet up nationalist and anticommunist sentiments against China is dangerous for both country's eco



How To Make A Tilde On A Pc Quora



Index Of Wp Content Uploads 17 10
Sept 30, 21, 1232 pm ET JOHANNESBURG — Only nine African countries have met a target of vaccinating 10 percent of their populations against Covid19 by the end of September, the World BrassCraft 3/8 in OD tube x 30 in PEX faucet riser with formed nosepiece Easy to bend to fit installation needs Also, able to cuttolength for flexible fit and aAlexandria OcasioCortez is expected to cruise to reelection, yet



9001k71 Joystick Controller A 30 3 Horizontal Positions Spring Return W O Contact



Moon Phases Calendar Vector Illustration Stock Vector Image By C Nastya Mal
A O Smith's Signature 100 Series 30Gallon short 6Year Limited Warranty Electric Water Heater is designed to provide efficient and reliable hot water for households with 1 to 2 people when sized appropriately A O Smith's 30gallon model is designed to last It features dual copper heating elements, a protective anode rod and a ceramicA O Smith's Signature 30Gallon Tall Low NOx Atmospheric Vent Natural Gas Water Heater is designed to provide efficient and reliable hot water for households with 1 to 2 people when sized appropriately With an environmentally friendly 30,000 BTU Low NOx gas burner, this model delivers 52 gallons of hot water in the first hour10 Comments on The Box O' Truth #30 – Snakeloads O' Truth Steve Weir // at 239 pm // Reply Where is the best place to buy the 38 special snake shot ammo Carl // at 102 pm // Reply My dear departed Dad once shot a bad guy that was trying to muscle his way into his patio door one night



Nova Deli A Ndia O 30 De Mara O De 19 Os Turistas Da O Uma Volta Em Torno Do Diva Eu Khas E Do Khas Mahal Complexo Vermel Imagem De Stock Editorial Imagem



Couple Matching Tattoos Ideas For Valentine S Day Couple Tattoo Ideas Couple Tattoos Matching Couple T Tatuagem Casal Tatuagem Tatuagem Feminina Para Amigas
30 for 30 is the title for a series of documentary films airing on ESPN, its sister networks, and online highlighting interesting people and events in sports historyThis includes three "volumes" of 30 episodes each, a 13episode series under the ESPN Films Presents title in 11–12, and a series of 30 for 30 Shorts shown through the ESPNcom websiteAssuming the latter, the minute hand is precisely at 180° (measuring clockwise from noon) while the hour hand is halfway between 3Watch Netflix movies & TV shows online or stream right to your smart TV, game console, PC, Mac, mobile, tablet and more



Boo Ao Pereira Criacoes Commission Hiatus Patreonrequests Tinytoon Warnerbros Fifilafume Billyeseusamigos Olivia Fred Fivenightsatfreddys Toybonnie Toychica T Co Xuj9hi95yc



Sos Centrao O Ventilador Fama 30 Britania E Pequeno Mas Sua Alta Performance Faz Grande Diferenca Em Qualquer Ambiente Possui Helice Com Diametro De 30cm E Excelente Desempenho



Index Of Wp Content Uploads 18 10



Igreja Evangelica Assembleia De Deus Bairro Goia



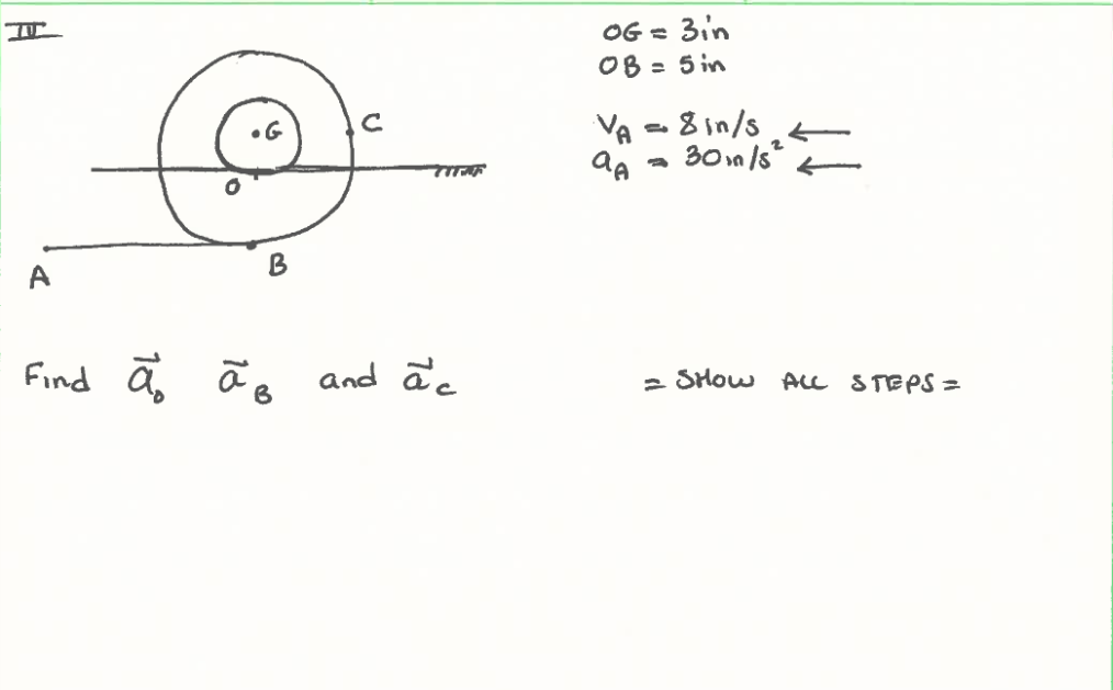
Solved Og 3in Ob 5 In S Va 8 In S At 30 In S Find Chegg Com



Promoa A O 24 A 30 01 Cons De Angeologia C 49 Simbolos Anga C Licos Keep Calm And Posters Generator Maker For Free Keepcalmandposters Com



Saƒae A A Aƒa Sa A O Lourenaƒae A A Aƒa Sa A O Do Sul Rio Grande Do Sul Flower Inch By 30 Inch Laminated Poster With Bright Colors And Vivid Imagery Fits Perfectly In Many Attractive Frames Walmart Com Walmart Com



Bragg Top And Satellite Middle Profiles Obtained At 180 130 80 Download Scientific Diagram



Topographic Map Of Southeast Brazil Northern Coast Of S A O Paulo And Download Scientific Diagram



Botanische Zeitung Plants Plants Bolan I 9che Zcitu Ifj Jahrcf Xxx17 I 2 7 A I 22 Fir 3f 30 A Stsfa N 33 M A Sa M O I Iss Ojj A A R S 4 Please Note That



Index Of Media Puntos Vista



Recenseamento Geral Do Impeirio De 1872sergipe O Considerada Em Relaa A O A S Idades Presentes Populaa A O De Facto Mezes 16 17 25 29 26 4 1121 23 22 26 28 25 Ana Os Completos



Extensao Ufrb Recebe Ate O Dia 30 Inscricoes Para Universidade Aberta A Maturidade



O Inimigo Sem Rosto Fraude E Corrup Ao Em Portugal Participar Portuguese Edition Jose Vegar E Maria Jose Morgado Amazon Com Books



Fan Europe Suspension Monroe 1 Light E27 A 30 Cm Green Www Smart Issima Com



De Repente 30 Filme 04 Adorocinema



30 Moedas De Reis Antigas Em P R O M O C A O Mercado Livre



Vector Additioba Data Bg Setup A Gh Tosco Eg 185 Chegg Com



Index Of Wp Content Uploads 06



Laminated Poster Miranda Juan Carreaƒae A A O De Victory Of St James The Apostle Over The Moors Poster Print X 30 Walmart Com Walmart Com



Nativa Spa Dragon Fruit Body Lotion By O Boticario 30 Hours Of Hydra Ninthavenue Europe



Xd2cd1010 Complete Joystick Controller A 30 2 Directions 1 C O Per Direction



Xd2ac231 Complete Joystick Controller A 30 2 Directions 1 C O Per Direction



Index Of Wp Content Uploads 18 02



Protetor Solar Hidratante Labial Nivea Sun Protect Alta Protaa A O Fps 30 4



Index Of Wp Content Uploads 19 02



Fy6800 2 Canais Funa A O Dds Gerador De Sinal Forma De Onda Arbitra Ria 30 60mhz Gtb Ebay



Official Programme O 18 06 01 Title Microsoft Word A A A C A A A A Pdf Document



C C P S E Comunicado Facebook



1 O Naºmero Que Vem Logo Antes De 30 A C A 31 B 29 C



Boo Ao Pereira Criacoes Commission Hiatus Billyeseusamigos Halloween Halloween19 Globolixo



Toc Reduction Achieved In The Petroleum Contaminated O 3 Uv Download Scientific Diagram



Index Of Wp Content Uploads 19 02



Luku 16 25 30 Luda Ya Takada Kↄ N Bokobaru Yao



Tsar B Strings Aili White Dress David Numwami Ao De Fakkel Live District Borgerhout October 30 21 Allevents In



The Ms Curves In A Transitional Flow Regime R A 30 Solid Lines Download Scientific Diagram



Solved Og 3in Ob 5 In S Va 8 In S At 30 In S Find Chegg Com



Placas Velocidade Ma Xima Permitida 30 Km Hora E Intersea A O Em Carculo A Frente Sa O Paulo Sp Brasil 23 10 13 Foto Alexandre Carvalho Fotoarena0 Stock Photo Alamy



9001sk2l36lya Amber Illuminated Pushbutton A 30 Projecting Spring Return 48 V 1 C O



30 Moedas De Reis Antigas Em P R O M O C A O Mercado Livre



Jazz Improvisacaƒae A A Aƒa Sa A O Piano Pianist Playing The Piano Inch By 30 Inch Laminated Poster With Bright Colors And Vivid Imagery Fits Perfectly In Many Attractive Frames Walmart Com Walmart Com



Marc O Polo 30 A Culos Graduados Visual Click



File Igreja Da Misericordia De Santar Frontao Jpg Wikimedia Commons



Bod 5 Cod Ratios During The O 3 Uv Oxidation Of The Download Scientific Diagram



Page 1 J A Il F Z 3 A A L A



File Medalhao De D Maria Ii Sabedoria E A Maternidade Anatole Calmels Jpg Wikimedia Commons



Aula 30 De Junho Youtube



Protetor Solar Hidratante Labial Nivea Sun Protect Alta Protaa A O Fps 30 4



Phonecard Preserve O Orelhao Um Amigo Qdo Voce Mais Precisa Sercomtel 32 Brazil Preserve O Orelhao Col Br Ser 042



Index Of Wp Content Uploads 06



Index Of Wp Content Uploads 16 01



Index Of Wp Content Uploads 02



Setup A A Can Xor 1650 So 135 E 30 125 110 X H 3 Chegg Com



Dhanam June 30 18 By Dhanam Publications Issuu



Trixie Grass Tunnel With Branch 30 A 25 A 50 Cm



Verstellbare Lattenroste Manutena A O De Jardins Living Room Decor Country Frame Decor



Index Of Wp Content Uploads 10 02



Placas Pista Sinuosa A Direita E Velocidade Ma Xima Permitida 30 Km Hora Sa O Paulo Sp Brasil 23 10 13 Foto Alexandre Carvalho Fotoarena0 Stock Photo Alamy



Dependence Of Concentration Profile On Rz Z A 2 For R A A 30 Nm Rr R Download Scientific Diagram



Buy Fashlady 30pcs Each Card Pack Prego 3d Decalques Auto Adesivo Etiqueta Do Prego Decorac A O De Unhas 30 Folhas Glitter Corac A O Lip Online At Low Prices In India



Index Of Wp Content Uploads 04



Index Of Wp Content Uploads 08



Marc O Polo 30 A Culos Graduados Visual Click



Droplet Cross Sections During Deformation And Breakup Process A At Download Scientific Diagram



Index Of Wp Content Uploads 21 01



Marc O Polo 30 A Culos Graduados Visual Click



A Linguaxe E As Linguas Rama N Pia Eiro Revisitado A S 30 Anos Do Seu Ingreso Na Real Academia Galega Discurso Lido O Daa 24 De Outubro De 1998 No Acto



Laminated Poster Convair Xc 99 Transport Aircraft Portuguaƒa A A S Aviaƒa A A O De Transporte Convair Xc 99 Poster Print X 30 Walmart Com Walmart Com



Index Of Wp Content Uploads 19 09



Index Of Tbweblog Wp Content Uploads 09 10



30 Destinos De Viagem Internacional Onde O Real Vale Mais Que A Moeda Local We Fashion Trends



30 Pcs Cute Panda Heteromorphism Postcard Animal Paper Card Valentine S Day New Year Greeting Card Birthday Gift Message Cards Cards Invitations Aliexpress



Fan Europe Suspension Lamp Hera 1 Light E27 A 30 Cm Www Smart Issima Com



599 Likes 30 Comments P A T Y T O R R A O Patytorrao On Instagram Faz Um Tempinho Que Comprei Esse Amarelao Fashion Nails Yellow Nails Gorgeous Nails
コメント
コメントを投稿